Algebraic Expression Form 2 - You have learnt the concept of algebraic expression and also learned how they are formed mathematically in algebra for representing the quantities in algebraic form.

Algebraic Expression Form 2 - You have learnt the concept of algebraic expression and also learned how they are formed mathematically in algebra for representing the quantities in algebraic form.. The contents tab displays all the lessons and topics of the course. More lessons on algebra algebra worksheets algebra games. Shmoop's free basic algebra guide has all the explanations, examples, and exercises you've been craving. A 2h2k3n2 b 5prs z4 c 4 5x d 7 yw unknowns: The four operations and their signs.

Standard form of a quadratic function. More lessons on algebra algebra worksheets algebra games. Classify the following algebraic expressions into monomial, binomial, and trinomial: Select one or more questions using the checkboxes above each question. Mathematics becomes a bit complicated when letters and symbols get involved.

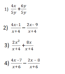
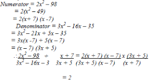
Express The Given Rational Algebraic Expression To Its Simplest Form Show Your Solution Brainly Ph
Express The Given Rational Algebraic Expression To Its Simplest Form Show Your Solution Brainly Ph from ph-static.z-dn.net
Before the introduction and development of algebra, these patterns and relationships had to be expressed in words. The two prime building blocks of an algebraic expression are constants and variables. An algebraic expression is basically a mathematical expression but it contains one or more unlike algebraic terms. (the coefficients do not have to be the same, just the variables!) Algebraic expressions are expressions that contain numbers, operations, as well as one or more variables. A 2h2k3n2 b 5prs z4 c 4 5x d 7 yw unknowns: This question is asking us to evaluate the expression for five different values. An algebraic expression can be in any form.

Classify the following algebraic expressions into monomial, binomial, and trinomial:

The first steps are to represent algebraic expressions in equivalent forms and simplify rational expressions. Learn how the distributive property can be used to combine variable terms, producing expressions that will help your pet grow up healthy and. When simplifying algebraic expressions, you will first need to understand how to combine like terms and the distributive property. Next, you will explore multiplication and division of monomial. We have already come across the commutative and associative properties of operations. 40 fewer than a number t. There are several types of problems that will be explored in this lesson. In this video, we are going to simplify some fractions involving algebraic expressions. Letters can be used to stand for unknown values or values that can change. In algebra, letters called variables are used to represent numbers. Use this lesson on writing algebraic equations to help you better understand them. An algebraic expression is basically a mathematical expression but it contains one or more unlike algebraic terms. (the coefficients do not have to be the same, just the variables!)

An algebraic expression is basically a mathematical expression but it contains one or more unlike algebraic terms. Use this lesson on writing algebraic equations to help you better understand them. With the introduction of algebra in class 6, it becomes difficult for students to understand the various concepts. If algebraic expressions are expressed as the product of numbers, variables or expressions, then each of these numbers and expressions is called the factor of algebraic expressions. Will you adopt spidro, centeon, or ping bee?

Mathematics Form 1 Chapter 5 6 Algebraic Expression Linear Equations
Mathematics Form 1 Chapter 5 6 Algebraic Expression Linear Equations from cdn.slidesharecdn.com
An algebraic expression is an expression formed from any combination of numbers and variables by using the operations of addition, subtraction, multiplication, division, exponentiation (raising to powers), or extraction of roots. This question is asking us to evaluate the expression for five different values. In mathematics, an algebraic expression is an expression built up from integer constants, variables, and the algebraic operations (addition, subtraction, multiplication, division and exponentiation by an exponent that is a rational number). Each time you click the contents tab, you will come to this page. There is an equal sign, and that means it is an equation and not an expression at all. An algebraic expression containing two terms is called a binomial. There are several types of problems that will be explored in this lesson. This is extremely useful for anyone interested in mathematics.

An algebraic expression is a combination of numbers, literals and arithmetical operations.

Like terms are two or more terms that have exactly the same variables. The four operations and their signs. In this video, we are going to simplify some fractions involving algebraic expressions. In algebra, letters called variables are used to represent numbers. Standard form of a quadratic function. Formulas can be written and equations solved to solve a range of problems in science and engineering. The first steps are to represent algebraic expressions in equivalent forms and simplify rational expressions. An algebraic expression is a combination of numbers, literals and arithmetical operations. This question is asking us to evaluate the expression for five different values. Algebraic expressions questions for your custom printable tests and worksheets. Simplifying algebraic expressions is an important skill. An algebraic expression containing two terms is called a binomial. A hunger for simplified algebraic expressions!

Each time you click the contents tab, you will come to this page. In algebra, letters called variables are used to represent numbers. In mathematics, an algebraic expression is an expression built up from integer constants, variables, and the algebraic operations (addition, subtraction, multiplication, division and exponentiation by an exponent that is a rational number). This is extremely useful for anyone interested in mathematics. This section explains how to multiply algebra expressions.

Algebraic Expressions Questions And Answers Form 1 Topical Mathematics
Algebraic Expressions Questions And Answers Form 1 Topical Mathematics from www.easyelimu.com
This section explains how to multiply algebra expressions. Combinations of variables and numbers along with mathematical operations form algebraic expressionscombinations of variables and numbers along with mathematical. Mathematics becomes a bit complicated when letters and symbols get involved. Use this lesson on writing algebraic equations to help you better understand them. A 2h2k3n2 b 5prs z4 c 4 5x d 7 yw unknowns: You can't construct an algebraic equation or expression without variables. If algebraic expressions are expressed as the product of numbers, variables or expressions, then each of these numbers and expressions is called the factor of algebraic expressions. The first steps are to represent algebraic expressions in equivalent forms and simplify rational expressions.

A 8mn2p b 4k3 c 7q 3t d 10 which of the following algebraic terms does not have more than two unknowns?

In mathematics, an algebraic expression is an expression built up from integer constants, variables, and the algebraic operations (addition, subtraction, multiplication, division and exponentiation by an exponent that is a rational number). Which algebraic expression models the given word phrase? We have already come across the commutative and associative properties of operations. The contents tab displays all the lessons and topics of the course. Includes several examples to help you understand. Formulas can be written and equations solved to solve a range of problems in science and engineering. For example, 3x2 − 2xy + c is an algebraic expression. A 2h2k3n2 b 5prs z4 c 4 5x d 7 yw unknowns: Letters can be used to stand for unknown values or values that can change. You can create printable tests and worksheets from these algebraic expressions questions! An algebraic expression is an expression built up from constants, variables, and a finite number of algebraic operations (addition, subtraction, multiplication, division and exponentiation(raised to an index) by an exponent(index) that is a rational number).1 for example. This question is asking us to evaluate the expression for five different values. When a term of an algebraic expression is made up of a constant.

Related : Algebraic Expression Form 2 - You have learnt the concept of algebraic expression and also learned how they are formed mathematically in algebra for representing the quantities in algebraic form..